
문제
https://www.acmicpc.net/problem/1010
개념
수학(조합), 다이나믹 프로그래밍
실행 결과

구현 코드(c++)
#include <iostream>
using namespace std;
int main() {
ios_base::sync_with_stdio(false);
cin.tie(nullptr);
cout.tie(nullptr);
int t;
cin >> t;
while (t--) {
int n, m;
cin >> n >> m;
unsigned long long res = 1;
for (int i = 0; i < n; i++) {
res *= (m - i);
res /= (i + 1);
}
cout << res << endl;
}
}
코드 설명
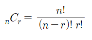
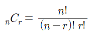
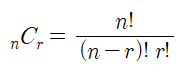
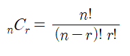
단순히 조합 mCn을 계산하는 문제이다.
처음에는 공식을 사용하여 단순 계산식을 만들었으나 시간 초과로 실패하거나 메모리 에러가 발생했다.

문제에서 m이 n보다 항상 크다고 주어지므로 공식의 n을 m으로, r을 n으로 두었다.
여기서 시간복잡도를 줄이려면 중복 연산을 없애면 된다. m!과 m-n!은 계산 과정에서 반드시 약분되기 때문이다.

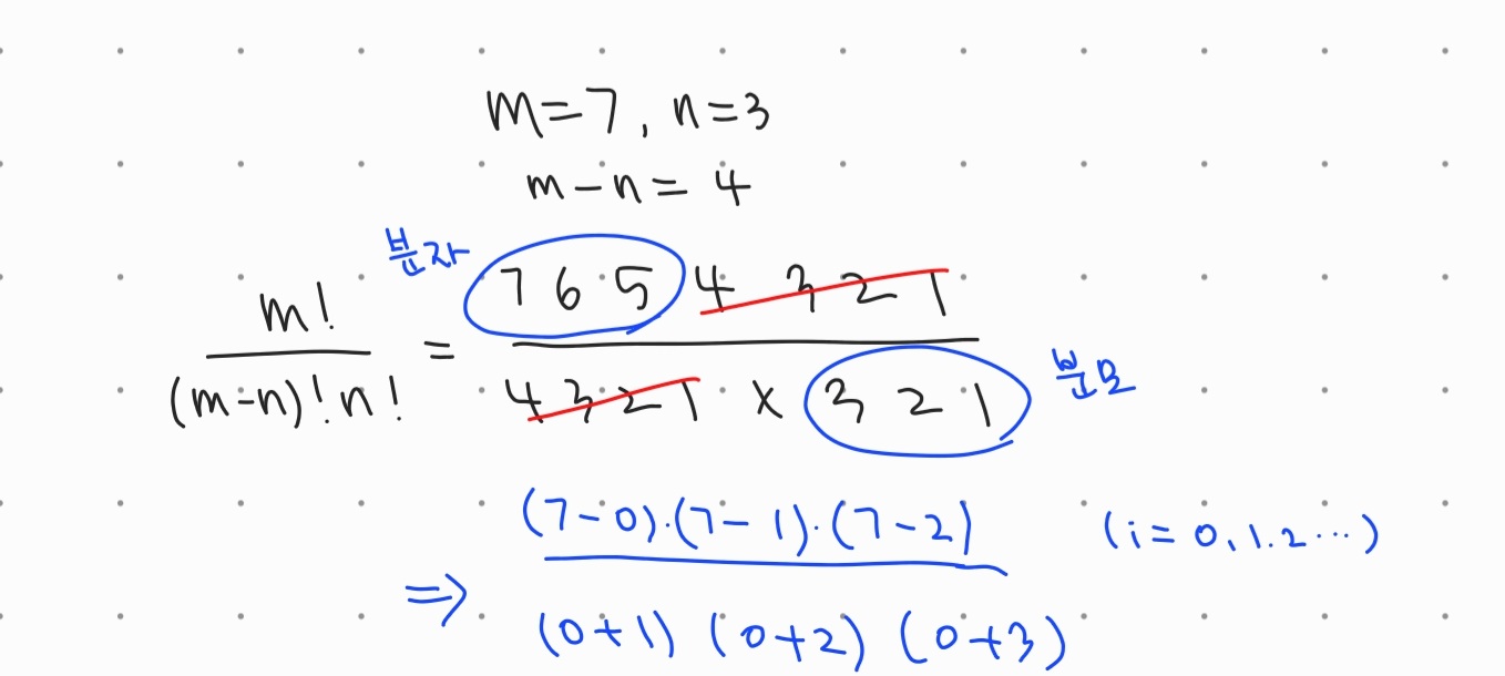
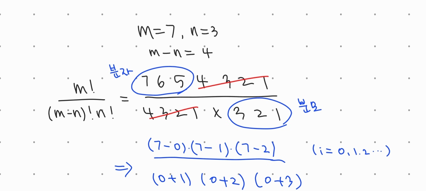
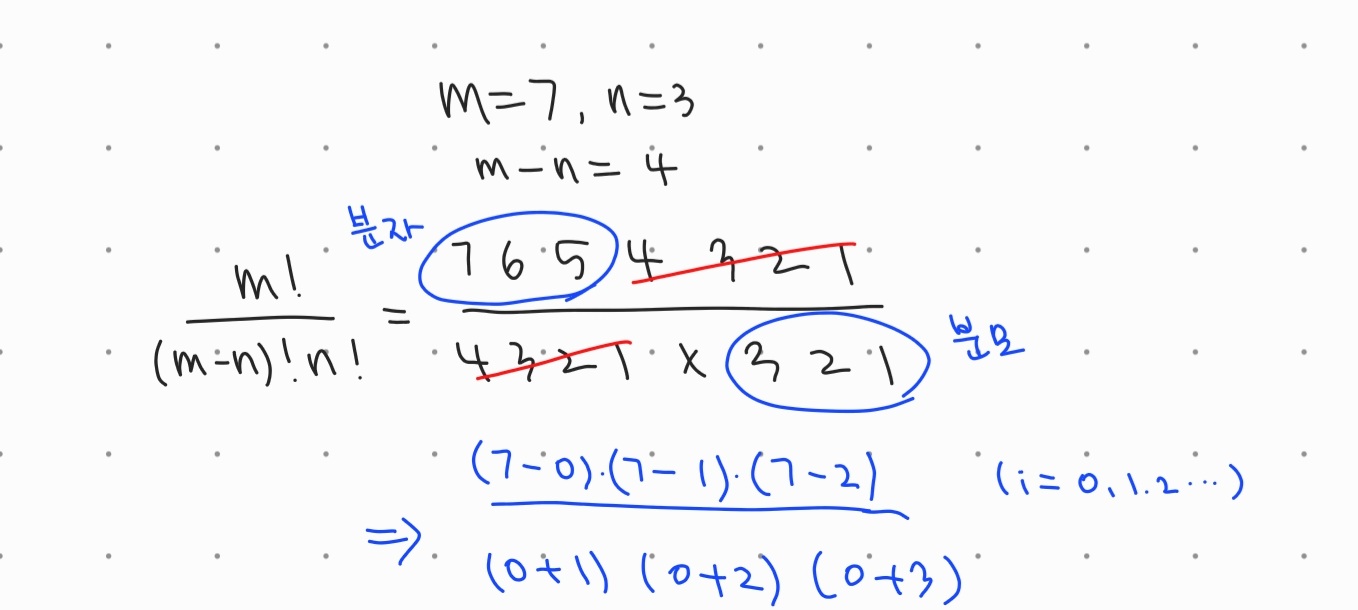
m=7, n=3이라고 했을때 다음과 같은 규칙이 나온다.
이를 바탕으로 세운 식은 다음과 같다.
for (int i = 0; i < n; i++) {
res *= (m - i);
res /= (i + 1);
}
분자 부분은 곱해주고 분모 부분은 나눠주면 한 번에 계산할 수 있다.
또한 결국 조합 문제이기 때문에, DP로도 풀 수 있다. 하지만 위 방법이 훨씬 간단하다..!
'PS' 카테고리의 다른 글
| [백준] 2667번: 단지번호붙이기 (0) | 2024.12.13 |
|---|---|
| [코드트리] 제곱수의 합으로 나타내기 (0) | 2024.12.08 |
| [백준] Fly me to the Alpha Centauri (0) | 2024.10.17 |
| [프로그래머스] 타겟 넘버 (0) | 2024.10.12 |
| [프로그래머스] 문자열 여러 번 뒤집기 (0) | 2024.10.10 |