결합확률분포 (joint pmf)
결합확률질량함수에 의해 변수가 두 개일 경우
주변확률분포
두 확률변수 중, 한 확률변수의 확률분포
X는 X끼리, Y는 Y끼리 따로 합을 구하기
결합누적분포
두 확률변수 𝑿, 𝒀 가 취하는 값에 대하여 𝑿와 𝒀가 그 값보다 작거나 같게 될 누적확률값을 대응시키는 함수 F(X, Y)
그냥 쉽게 결합확률분포 범위가 정해진 결합확률분포라고 생각하자.
공분산 𝑪𝒐𝒗(𝑿, 𝒀)
𝑪𝒐𝒗(𝑿, 𝒀) = = 𝑬(𝑿𝒀) − 𝑬(𝑿)𝑬(𝒀)
두 확률변수 𝑿와 𝒀가 어떤 관계를 가지며 변화하는지를 나타내는 척도
𝑿와 𝒀의 관계뿐만 아니라 퍼져 있는 정도에도 영향을 받음
𝑿와 𝒀의 단위에 영향을 받음
- 공분산이 양수: x가 증가할 때 y도 증가할 확률이 큼
- 공분산이 음수: x가 증가할 때 y는 감소할 확률이 큼
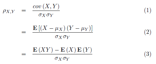
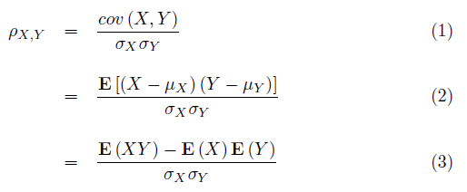
상관계수 𝑪𝒐𝒓𝒓(𝑿, 𝒀)

두 확률변수 𝑿와 𝒀의 단위에 영향을 받지 않는 측도
두 확률변수 사이의 선형 연관성을 측정한 값
1에 가까울수록 𝑿와 𝒀의 선형관계가 강함
0이면 두 확률변수 사이에 선형관계가 없음
'Statistics' 카테고리의 다른 글
| 통계학 - 두 변수 자료의 요약 (0) | 2022.04.12 |
|---|---|
| 통계학 - 수치를 통한 연속형 자료의 요약 (0) | 2022.04.12 |
| 통계학 - 표와 그림을 통한 자료의 요약 기초 (0) | 2022.04.12 |
| 통계학 - 확률분포 (0) | 2022.04.12 |
| 통계학 - 확률 (0) | 2022.04.12 |